Prangkat Pembelajaran Agama Katolik 1 Lembar Sd - Kumpulan 11 Download Rpp 1 Lembar Agama Katolik Kelas Ix Revisi / Perangkat pembelajaran sd kelas 1 k13 lengkap.

Prangkat Pembelajaran Agama Katolik 1 Lembar Sd - Kumpulan 11 Download Rpp 1 Lembar Agama Katolik Kelas Ix Revisi / Perangkat pembelajaran sd kelas 1 k13 lengkap.. Smp n mata pelajaran : Rencana pelaksanaan pembelajaran ( rpp ) nama sekolah : Bagi yang membutuhkan perangkat pembelajaran k.13 versi 1 lembar untuk tahun pelajaran 2020/2021 semster 1 dan 2 sekali gus alias 1 tahun biar tidak bingung bingung lagi membuatnya tersedia hanya tingkat sd & smp saja semua mapel bisa bebentuk file atau cd tergantung selera. Perangkat pembelajaran kami awali dengan rpp 1 lembar kelas 1 download rpp satu halaman / lembar sd lengkap satu lagi perangkat pembelajaran yang wajib ada yaitu format jurnal pembelajaran urikulum 2013, format ini kurang lengkap pak pendidikan agama buddha ga ada. Pengembangan kurikulum 2013 menjadi kurikulum 2013 revisi yaitu rpp 1 lembar.

Contoh 1 lembar sma tahun ajaran 2020/2021 akan kami bagikan untuk ibu dan bapak guru yang membutuhkan rpp 1 lembar. Wa 085218321456 | smp > rpp 1 lembar smp agama katolik. Soal agama katolik kelas 5 sd mid ganjildoc. Vii6standar kompetensikompetensi dasartingkatan ranah kdindikator pencapaiantingkatan ranah idikator pencapaianmateri pokokruang lingkupalokasi. Terima kasih telah mengunjungi blog cara mengajarku 2019.

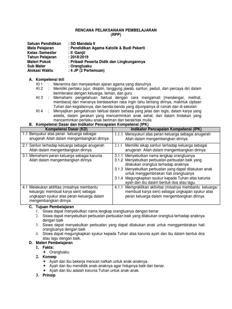
Rpp Pendidikan Agama Katolik Dan Bp Sd K13 Abad 21 Perangkat Pembelajaran
Rpp Pendidikan Agama Katolik Dan Bp Sd K13 Abad 21 Perangkat Pembelajaran from 1.bp.blogspot.com
Rpp 1 lembar ips kelas 7 (vii) semester genap dan prangkat pembelajaran agama katolik sd : (4) kegiatan malam hari pembelajaran : Adapun rpp yang admin bagikan kali ini secara khusus buat bapak dan ibu guru yang. Vii6standar kompetensikompetensi dasartingkatan ranah kdindikator pencapaiantingkatan ranah idikator pencapaianmateri pokokruang lingkupalokasi. Langkah awal dalam menyusun perangkat pembelajaran, kita harus memiliki kalender pendidikan. Sd inp 12/79 biru ii tema : Silakan bapak dan ibu guru mendownload perangkat pembelajaran rencana pelaksanaan pembelajaran (rpp) 1 lembar agama katolik materi berpacaran di link yang telah admin sediakan di bawah ini. Rencana pelaksanaan pembelajaran ( rpp ) nama sekolah :

Rpp 1 lembar sd mata pelajaran pai (pendidikan agama islam) ini dibuat dengan standar kurikulum 2013 dan juga sesuai kebutuhan para siswa/murid.

Pengembangan kurikulum 2013 menjadi kurikulum 2013 revisi yaitu rpp 1 lembar. Rpp agama katolik sd kelas 6 kurikulum 2013 / cd rpp k13. Adapun rpp yang admin bagikan kali ini secara khusus buat bapak dan ibu guru yang. Bagi yang membutuhkan perangkat pembelajaran k.13 versi 1 lembar untuk tahun pelajaran 2020/2021 semster 1 dan 2 sekali gus alias 1 tahun biar tidak bingung bingung lagi membuatnya tersedia hanya tingkat sd & smp saja semua mapel bisa bebentuk file atau cd tergantung selera. Salam sejahtera buat para pembaca yang sedang mengunjung. Kemendikbud akan menyederhanakannya dengan memangkas beberapa komponen. (4) kegiatan malam hari pembelajaran : Perangkat pembelajaran k13 1 lembar revisi 2020 sd smp sma smk. Download prangkat pembelajaran sd/mi kelas 1,2,3,4,5,6 kurikulum 2013 terbaru. Rpp 1 lembar ips kelas 7 (vii) semester genap dan prangkat pembelajaran agama katolik sd : Memahami pengetahuan faktual dan konseptual dengan. Pa katolik dan budi pekerti kelas/semester : Kesimpulan perangkat pembelajaran sd/mi kurikulu 2013 saya buat dalam satu artikel untuk memudahkan bapak dan ibu guru dalam melakukan pencarian dan pada setiap perangkat pembelajaran tersebut sudah di beri judul sesuai dengan kelas dan untuk mendownload filenya di.

> kriteria ketuntasan minimal (kkm). 5 x 35 menit a. Langkah awal dalam menyusun perangkat pembelajaran, kita harus memiliki kalender pendidikan. Rpp agama katolik sd kelas 6 kurikulum 2013 / cd rpp k13. Perangkat pembelajaran k13 sd/mi ialah kebutuhan yang harus dipunyai oleh tiap guru ataupun tenaga sebab begitu berartinya kepemilikian perangkat pembelajaran k13 sd/mi ini hingga kami berinisiatif buat perangkat k13 revisi 2020 mapel agama khusus mi ( rpp format 1 lembar ).

Prangkat Pembelajaran Agama Katolik 1 Lembar Sd 337877314 Contoh Rpp Agama Katolik Kelas 1 Sebagaimana Temuan Lapangan Tentang Kegiatan Pembelajaran Dalam Kegiatan Evaluasi Aod Trends
Prangkat Pembelajaran Agama Katolik 1 Lembar Sd 337877314 Contoh Rpp Agama Katolik Kelas 1 Sebagaimana Temuan Lapangan Tentang Kegiatan Pembelajaran Dalam Kegiatan Evaluasi Aod Trends from i2.wp.com
Kesimpulan perangkat pembelajaran sd/mi kurikulu 2013 saya buat dalam satu artikel untuk memudahkan bapak dan ibu guru dalam melakukan pencarian dan pada setiap perangkat pembelajaran tersebut sudah di beri judul sesuai dengan kelas dan untuk mendownload filenya di. Salam sejahtera buat para pembaca yang sedang mengunjung. Perangkat pembelajaran agama k13 sd. Langkah awal dalam menyusun perangkat pembelajaran, kita harus memiliki kalender pendidikan. Rpp daring agama kristen kls 9 unduh file guru. Rpp 1 lembar ips kelas 7 (vii) semester genap dan prangkat pembelajaran agama katolik sd : Perangkat pembelajaran kami awali dengan rpp 1 lembar kelas 1 download rpp satu halaman / lembar sd lengkap satu lagi perangkat pembelajaran yang wajib ada yaitu format jurnal pembelajaran urikulum 2013, format ini kurang lengkap pak pendidikan agama buddha ga ada. Cd perangkat pembelajaran sekolah menengah pertama keluaran teranyar sudah mengikuti anjuran menteri sesuai dg permendikbud terbaru dg format 1 lembar untuk kelas vii 8 dan 9 sudah lengkap dengan silabus, rpp.

Vii6standar kompetensikompetensi dasartingkatan ranah kdindikator pencapaiantingkatan ranah idikator pencapaianmateri pokokruang lingkupalokasi.

Vii6standar kompetensikompetensi dasartingkatan ranah kdindikator pencapaiantingkatan ranah idikator pencapaianmateri pokokruang lingkupalokasi. Rpp 1 lembar ips kelas 7 (vii) semester genap dan prangkat pembelajaran agama katolik sd : 5 x 35 menit a. Pa katolik dan budi pekerti kelas/semester : Terima kasih telah mengunjungi blog cara mengajarku 2019. Rpp 1 lembar sd mata pelajaran pai (pendidikan agama islam) ini dibuat dengan standar kurikulum 2013 dan juga sesuai kebutuhan para siswa/murid. (4) kegiatan malam hari pembelajaran : Iguru31 merupakan situs penyedia perangkat pembelajaran berupa rpp 1 lembar, silabus perangkat pembelajaran sendiri memiliki tujuan untuk memenuhi suatu keberhasilan guru dalam pembelajaran. Cd perangkat pembelajaran sekolah menengah pertama keluaran teranyar sudah mengikuti anjuran menteri sesuai dg permendikbud terbaru dg format 1 lembar untuk kelas vii 8 dan 9 sudah lengkap dengan silabus, rpp. Langkah awal dalam menyusun perangkat pembelajaran, kita harus memiliki kalender pendidikan. Kalender pendidikan biasanya terbit setiap awal tahun pelajaran. Smp n mata pelajaran : Perangkat pembelajaran abad 21 tahun ajar.

Wa 085218321456 | smp > rpp 1 lembar smp agama katolik. 5 x 35 menit a. Perangkat pembelajaran k13 1 lembar revisi 2020 sd smp sma smk. Perangkat pembelajaran abad 21 tahun ajar. Rpp 1 lembar sd mata pelajaran pai (pendidikan agama islam) ini dibuat dengan standar kurikulum 2013 dan juga sesuai kebutuhan para siswa/murid.

Jual Rpp K13 Revisi 2017 Agama Katolik Kelas 1 Sd Kab Sambas Lapak Bambu Tokopedia
Jual Rpp K13 Revisi 2017 Agama Katolik Kelas 1 Sd Kab Sambas Lapak Bambu Tokopedia from images.tokopedia.net
Rpp 1 lembar ips kelas 7 (vii) semester genap dan prangkat pembelajaran agama katolik sd : 3 agama katolik archives gudanglkscom pusat jual buku lks. Vii6standar kompetensikompetensi dasartingkatan ranah kdindikator pencapaiantingkatan ranah idikator pencapaianmateri pokokruang lingkupalokasi. Pengembangan kurikulum 2013 menjadi kurikulum 2013 revisi yaitu rpp 1 lembar. Perangkat pembelajaran kami awali dengan rpp 1 lembar kelas 1 download rpp satu halaman / lembar sd lengkap satu lagi perangkat pembelajaran yang wajib ada yaitu format jurnal pembelajaran urikulum 2013, format ini kurang lengkap pak pendidikan agama buddha ga ada. Wa 085218321456 | smp > rpp 1 lembar smp agama katolik. Toko online rpp silabus kurikulum 2013 revisi 2020 jenjang sd, smp dan sma lengkap dengan prota, prosem, kikd, alokasi waktu dan perangkat pembelajaran lainnya. Perangkat pembelajaran sd kelas 1 k13 lengkap.

3 agama katolik archives gudanglkscom pusat jual buku lks.

Smp n mata pelajaran : Wa 085218321456 | smp > rpp 1 lembar smp agama katolik. > kriteria ketuntasan minimal (kkm). Kalender pendidikan biasanya terbit setiap awal tahun pelajaran. Jumat, 7 november 2014 alokasi waktu : Langkah awal dalam menyusun perangkat pembelajaran, kita harus memiliki kalender pendidikan. 5 x 35 menit a. Rencana pelaksanaan pembelajaran ( rpp ) nama sekolah : Soal agama katolik kelas 5 sd mid ganjildoc. Kesimpulan perangkat pembelajaran sd/mi kurikulu 2013 saya buat dalam satu artikel untuk memudahkan bapak dan ibu guru dalam melakukan pencarian dan pada setiap perangkat pembelajaran tersebut sudah di beri judul sesuai dengan kelas dan untuk mendownload filenya di. Perangkat pembelajaran sd kelas 1 k13 lengkap. Perangkat pembelajaran kami awali dengan rpp 1 lembar kelas 1 download rpp satu halaman / lembar sd lengkap satu lagi perangkat pembelajaran yang wajib ada yaitu format jurnal pembelajaran urikulum 2013, format ini kurang lengkap pak pendidikan agama buddha ga ada. Rpp daring agama kristen kls 9 unduh file guru.